b365官网最新活动
高考资讯推荐阅读
武汉高考考试试题推荐阅读
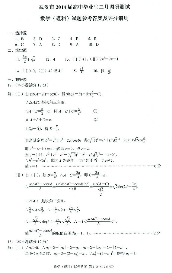
2014年武汉市高三二月调考理科数学试卷参考答案
2014-02-20 17:31
来源:未知
导语:2014年武汉高三二月调考是对高三考生一次重要的诊断性摸底考试,为了帮助大家更好的了解本次考试,下面就看看我们第一时间发布的2014年武汉市高三二月调考理科数学试卷参考答案吧!
2014年武汉市高三二月调考理科数学试卷参考答案

b365官网官方微信:武汉巨人教育 (微信号:wuhan_juren)
扫码关注“武汉巨人教育”官方微信,了解K12升学最新资讯及巨人学校优惠活动!
b365官网最新活动
高考资讯推荐阅读
武汉高考考试试题推荐阅读